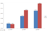
홈 > 검색 > 공시 보령제약, 3분기 영업익 71억…전년비 465.2% 증가 2644일전 ... 3분기 영업실적을 공시했다. 매출액은 전년 동기 대비 1.24%, 영업이익은 465.2% 증가한 수치다. 같은 기간 순이익은 48억원을 기록, 62.6% 증가했다. 정기종 기자 hareggu@etoma... 현대건설 5947억 규모 이란 공사계약 해지 2644일전 ...공시했다. 사업비는 5947억원 규모로 석유화학 제품 생산설비를 건설하는 공사다. 공사금액은 현대건설의 2015년 연결 매출액의 3.09%에 해당하는 규모다. 현대건설 측은 '이란 ... (중국조선 실체)1, 2위 통합법인 매출 90조원? 20조원 불과 2644일전 ...공시시스템 등을 통해 회계 결산 정보는 물론 자회사 정보, 대표이사 및 주요 임원의 보직에 이르기까지 '연속적이고 투명하고 공개적인' 정보를 확인할 수 있는 반면 중국은 여러 ... 한국타이어, 3분기 영업익 1846억…전년비 15% 감소 2644일전 ...공시했다. 매출과 영업이익 모두 전년 동기 대비 각각 3.8%, 15.0% 감소했다. 한국타이어 관계자는 '국내 및 유럽, 중국 시장에서 고인치 타이어의 안정적인 판매로 전년 동기 대비 교... 한미약품, 3분기 수익성 하락 불구 업계 최고 수준 R&D 투자 유지 2644일전 ...공시했다 . 매출액은 전년 동기 대비 3.4% 성장했지만 , 영업이익은 22.8% 감소한 수치다 . 매출 증가는 국내 아모잘탄 ( 고혈압 ), 에소메졸 ( 역류성식도염 ), 로수젯 ...... 1조 클럽 갈림길…GS건설vs현대건설 희비 2644일전 ...공시시스템에 따르면 GS건설은 지난 23일 공시를 통해 올 3분기 누적 기준 매출액 9조9070억원, 영업이익 8430억원, 세전이익 6570억원을 기록했다고 밝혔다. 3분기 누적기... "삼성전자, 올해 하반기 최대 관심 종목…배당 확대 기대" 2644일전 ...공시 등의 실시간 거래 정보와 주식 거래 기능을 지원하는 모바일 증권 플랫폼이다. 키움증권, SK증권, 이베스트투자증권, 하나금융투자, 유안타증권, 미래에셋대우, NH투자증권 나... (사회책임)고용세습은 권력사유화의 뒤틀린 흉내 2644일전 ...공시 준비생들은 이 문제를 성난 시민들의 촛불이 겨냥했던 '권력사유화'의 뒤틀린 흉내로 보고 있을지 모른다. 당이 곧 국가요, 기업이었던 옛 소련과 동구권의 몰락은 근본적으로 ... 반도체 낙수효과는 없었다…이익도 인력도 '부익부 빈익빈' 2644일전 ...공시했다. 영업이익률도 56.7%에 달해 사상 최대치를 기록했다. 삼성전자와 SK하이닉스의 실적 잔치가 국내 후방산업의 낙수효과로 이어지지는 않고 있다. CEO스코어에 따르면 ... 급락장에 자사주 매입 늘리는 코스닥기업 2644일전 ...공시를 낸 SK머티리얼즈이다. 취득 규모만 911억원이다. 취득기간은 6월14일부터 9월12일까지다. 이 기간에 SK머티리얼즈의 주가는 약 10% 가량 상승세를 보였다. 자사주 매입은 회... LG화학·삼성SDI, 전기차배터리 10년 투자 빛본다 2647일전 ...공시했다. 분기 기준 최대다. 삼성SDI도 배터리 사업에서 매출 1조9223억원을 거뒀다. 이는 전체 매출의 76.2%에 달한다. LG화학과 삼성SDI 배터리사업 매출 추이. 자료/LG화... LG화학 "안전성·가격경쟁력 높은 파우치형에 집중" 2647일전 ...공시를 통해 3분기 매출 7조2349억원, 영업이익 6024억원을 거뒀다고 밝혔다. 전년 동기와 비교할 때 영업이익은 24% 감소했으나, 매출은 13% 늘며 분기 최대 매출을 달성했다. ... 현대제철 3분기 영업익 3761억…그룹서 나홀로 선전 2647일전 ...공시했다. 전년 동기 대비 각각 8.6%, 10.7% 증가했다. 영업이익률도 0.2%포인트 상승한 7.2%를 기록했다. 전분기 대비로는 매출액은 3.9% 줄었지만 영업이익은 0.1% 증가했다. 현대제철 ... LG화학, 3분기 영업이익 6024억원…분기 최대 매출에 만족 2647일전 ...공시했다. 직전 분기와 대비해 매출은 약 3% 증가했으나 영업이익은 14% 감소했다. 전년 동기와 비교해서는 매출은 13% 늘었지만, 영업이익은 무려 24% 급감했다. 정호영 LG화학 CF... 현대모비스도 부진…3분기 매출·영업이익 동반 하락 2647일전 ...공시했다. 전년 동기 대비 매출은 3.9%, 영업이익은 15.1%, 당기순이익 6.8% 감소했다. 같은 기간 영업이익률은 0.7%포인트 하락한 5.5%로 집계됐다. 3분기 누적(1~9월) 실적은 매출 25... 현대차 이어 기아차·모비스까지 '어닝쇼크' 2647일전 ...공시했다. 전년 동기 대비 매출은 0.2% 감소했고 영업이익은 흑자전환했다. 단, 시장 예상치(3200억원대)와 비교하면 영업이익이 3분의 1 수준에 그쳤다. 영업이익률은 0.8%로 집계... 쌍용차 7분기 연속 적자…수출부진 직격탄 2647일전 ...공시했다. 매출액은 전년동기 대비 0.1% 증가했지만 적자 폭은 174억원에서 26.4% 증가했다. 쌍용차는 지난 2016년 4분기 80억원의 영업이익을 낸 후 7분기 연속 적자를 보고 있... 에쓰오일, 재고이익 감소 여파…3분기 영업익 43% 급감 2647일전 ...공시했다. 전년 동기 대비 매출액은 38% 늘었지만, 영업이익은 43% 급감했다. 같은 기간 당기순이익은 42% 감소한 2298억원으로 집계됐다. 사업부문별로 보면, 정유부문은 매출액... 기아차도 실적 '쇼크'…판매부진에 품질비용 등 악재 겹쳐(종합) 2647일전 ...공시했다. 전년 동기 대비 매출은 0.2% 감소했고 영업이익은 흑자전환했다. 단, 시장 예측치(3200억원대)와 비교해 3분의 1 수준에 그쳤다. 영업이익률은 0.8%로 집계됐다. 영업이익... 기아차, 3분기 영업이익률 0.8%…"수익성 둔화"(상보) 2647일전 ...공시했다. 전년 동기 대비 매출은 0.2% 감소했고 영업이익은 흑자전환했다. 영업이익률은 0.8%다. 영업이익률이 1% 미만을 기록한 것은 이익을 낸 분기 중에서는 한국채택국제회계기... 811812813814815816817818819820